
Εισαγωγή προϊόντος
| Δεκανοϋλο/οκτανοϋλογλυκερίδια Βασικές πληροφορίες |
| Περιγραφή Πηγές |
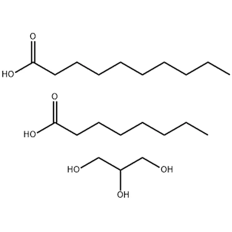
| Ονομασία προϊόντος: | Δεκανοϋλο/οκτανοϋλο-γλυκερίδια |
| Συνώνυμα: | Καπρυλικό/Καπρικό τριγλυκερίδιο, εκχύλισμα ρητίνης CoMMiphora Mukul;2-υδροξυ-3-(οκτανοϋλοξυ)προπυλδεκανοϊκό·1-υδροξυ-3-(οκτανοϋλοξυ)προπαν-2-δεκανοϊκό ύλιο· Τριγλυκερίδιο ,Υδρογονωμένη ρετινόλη, Τριγλυκερίδια μέσης αλυσίδας (MCT), εστέρας δεκανοϊκού οξέος με 1,2,3-οκτανοϊκή προπανοτριόλη, δεκανοϋλο/οκτανοϋλογλυκερίδια, οκτανοϊκό/δεκανοϊκό τριγλυκερίδιο |
| CAS%3α | 65381-09-1 |
| MF%3α | C21H44O7 |
| MW%3α | 408.58 |
| EINECS%3α | 265-724-3 |
| Κατηγορίες προϊόντων: | πρόσθετο τροφίμων/καλλυντικά,65381-09-1 |
| Αρχείο Mol: | 65381-09-1.mol |
![]() |
|
| Δεκανοϋλο/οκτανοϋλογλυκερίδια Χημικές ιδιότητες |
| πυκνότητα | 0.94-0.96 |
| LogP | 3.965 (εκτιμώμενο) |
| Σύστημα Μητρώου Ουσιών EPA | Δεκανοϊκή οκτανοϊκή γλυκερόλη (65381-09-1) |
| Οδηγίες ασφαλείας |
| Πληροφορίες MSDS |
| Δεκανοϋλο/οκτανοϋλογλυκερίδια Χρήση και Σύνθεση |
| Περιγραφή | Το δεκανοϋλο/οκτανοϋλο-γλυκερίδιο είναι χρήσιμο καλλυντικό ως μαλακτικό, παράγοντας κάλυψης, παράγοντας αρωματισμού, περιποίηση δέρματος και διαλύτες. Ως πλήρως κορεσμένος μαλακτικός τριεστέρας, συνιστάται ως εναλλακτική λύση για ορυκτά ή φυτικά έλαια σε μια μεγάλη ποικιλία εφαρμογών προσωπικής φροντίδας και φαρμακευτικής χρήσης. Ως πλήρως κορεσμένο τριγλυκερίδιο, είναι ελαφρύ μαλακτικό με καλή λιπαντικότητα. Είναι επίσης εξαιρετικός διαλύτης για χημικά αντηλιακά και διαβρεκτικός παράγοντας για φυσικά αντηλιακά1-4. |
| Πηγές |
http://www.thegoodscentscompany.com/data/rw1306031.html https://books.google.com/books?id{{0}}pKrBNbkE2c0C&pg=PA340&lpg=PA340&dq=65381-09-1&source=bl&ots{{9 }}FjOJzUjeH&sig=xXGZ85qWsuCTz2KUn-W_-3fe5vE&hl=zh-CN&sa=X&ved{19}}ahUKEwiPtseh{{20}HcAhXYa{ATB1}HcAhXWFog http://www.perflavory.com/docs/doc1306031.html https://www.ingredientstodiefor.com/files/CCT%20MSDS.pdf |
| Χρήσεις | Τα δεκανοϋλ/οκτανοϋλογλυκερίδια χρησιμοποιούνται ευρέως σε αντηλιακά λάδια, κρέμα και λοσιόν. Κρέμα και λοσιόν προστασίας μετά τον ήλιο. Χρησιμοποιείται σε λάδι τροποποίησης μαλλιών, κρέμα και λάδι κεφαλής, που μπορεί να κάνει τα μαλλιά λαμπερά, λεία και εύκολα στο χτένισμα. λάδι μπάνιου? λάδι περιποίησης δέρματος και θρεπτικό διάλυμα. Κάνει το δέρμα λιπαντικό και λαμπερό, και η θρέψη απορροφάται εύκολα από το δέρμα, κάτι που παίζει πολύ καλό ρόλο στα ομοιόμορφα και ευαίσθητα καλλυντικά. |
| Δεκανοϋλο/οκτανοϋλογλυκερίδια Παρασκευαστικά Προϊόντα και Πρώτες Ύλες |
| Πρώτες ύλες | Octanoic acid-->Δεκανοϊκό οξύ |
Δημοφιλείς Ετικέτες: δεκανοϋλο/οκτανοϋλογλυκερίδια, Κίνα κατασκευαστές δεκανοϋλ/οκτανοϋλογλυκεριδίων, προμηθευτές, εργοστάσιο
Μπορεί επίσης να σας αρέσει
Αποστολή ερώτησής








